简单介绍几句话简单介绍几句话
免疫印迹WB
蛋白质免疫印迹法 (Western Blot ) ,简称WB ,是指通过SDS-PAGE胶将不同分子量的蛋白质分离开,然后将目标蛋白转移到载体(PVDF)膜上,利用抗原抗体的特异性结合,用特异性的一抗结合目标蛋白,用HRP标记的二抗结合一抗,再加以ECL发光液显色,检测组织或者细胞内某种或者某些特异性蛋白质的表达。蛋白质免疫印迹是做蛋白质分析的一种常规技术,常用于鉴定某种蛋白,并能对蛋白进行定性和半定量分析,还可以用于蛋白质-蛋白质、蛋白质-DNA、蛋白质-RNA相互作用后续分析。
1. WB(普通蛋白)-整膜
2. WB(普通蛋白)
3. WB(磷酸化蛋白)
4. WB(核蛋白、线粒体蛋白、膜蛋白)
5. WB(外泌体)
6. 蛋白提取
7. 考马斯亮蓝染色


核酸蛋白互作
EMSA 是—种用于研究核酸和蛋白质之间相互作用的技术,适用于转录因子与启动子相互作用的验证性实验,主要是验证蛋白质与特定核酸序列的结合特性,从而间接推断巳知蛋白质的靶序列或已知序列的结合蛋白质分子。CHIP 是目前唯—研究体内DNA 与蛋白质相互作用的方法,它不仅可以检测体内反式作用因子与DNA 的相互作用,还可以用来研究组蛋白的各种共价修饰与基因表达关系。CHIP: 充分反映生理条件下DNA 与蛋白质相互作用的真实渭况,可以找出生理条件下某个DNA 结合蛋白与DNA 序列的结合位点,从而反映体内基因表达调控的真实情况。
1. IP
2. COIP
3. CHIP检测
4. CHIP引物
5. EMSA检测
6. EMSA标记探针(bio)
7. EMSA未标记探针

蛋白组学
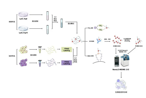
蛋白质组学(Proteomics)指的是大规模、高通量地研究一个细胞、组织或物种中表达的全套蛋白质的学科。近十年来,质谱技术的飞速发展大大推动了的蛋白质组学的进步,基于质谱的蛋白质组学已经成为蛋白质研究领域必不可少的技术手段。通过蛋白质组学技术可以对生物样本中的蛋白质、翻译后修饰位点(如磷酸化)进行大规模地鉴定或定量,进而从高通量的数据分析中挖掘有价值的信息和规律,为功能机制的探究提供线索和基础。2003年,人类基因组计划(HGP)完成精细图的绘制后,同年,人类蛋白质组学计划(HPP)随即开展起来,反映了科研领域对蛋白质组学的重视。经过十年时间,多家单位的共同努力下,人类蛋白质组草图也于2014年在Nature杂志公布了。目前,蛋白质组学领域最成熟的研究方式采用的是鸟枪法(shotgun)的策略,即样品中提取的蛋白质经过还原、烷基化、酶解的步骤变为肽段混合物,肽段再经过电喷雾进入质谱进行扫描,得到质谱谱图,最后通过相关的软件解析这些质谱图就可以得到样品中蛋白质的定性或定量信息。
1. 蛋白组学
2. 蛋白质鉴定
3. 磷酸化蛋白鉴定
4. SWATH定量蛋白质组学
5. SWATH定量磷酸化蛋白质组

扫一扫关注微信