简单介绍几句话简单介绍几句话
仪器型号:德国-耐驰-DIL 402C
测试周期:3-7个工作日
热膨胀仪(DIL)
热膨胀仪( DIL)能在特定气氛和程序控温条件下,测量物质尺寸在可忽略负载下随温度变化而变化的过程。可测量固体、熔融金属、粉末、涂料等各类样品,目前广泛应用于无机陶瓷、金属材料、塑胶聚合物、建筑材料、涂层材料、耐火材料、复合材料等领域。
1. 样品要求
标样尺寸:直径6mm,长度25mm。测试样品尺寸尽量与其接近,也可以制成4*4*25或相近尺寸。试样小,长度方向也可12mm。端面与轴线垂直。
2. 其它要求
准备2-3个平行样品备用。
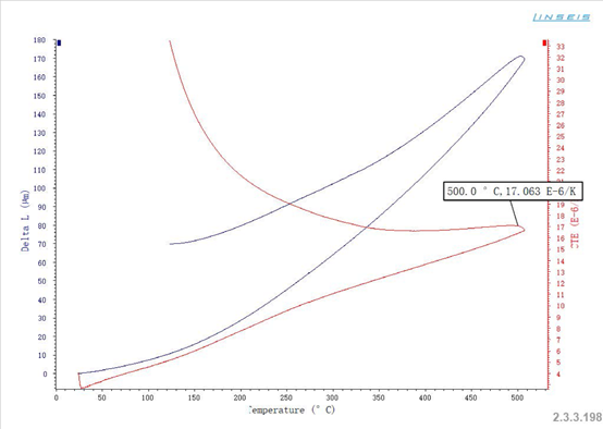
测试结果

T·α:平均热膨胀系数;α:瞬时热膨胀系数;m:平均热膨胀系数;diff:瞬时热膨胀系数;dL/L0:长度变化率 dL/L0=(L1-L0)/L0); α或diff=dL/(LT*dT); T·α或m=△L/(L0*△T);
不同长度的样品,即使是同一材质,得到的热膨胀系数也有一定差距,不会完全一致,所以如果需要对比数据的话,最好是准备同一尺寸的样品。
升温速率较快,样品内部温度上升相对于炉体温度具有滞后性,内部温度上升不均匀,会导致负膨胀现象,因而实际测试建议升温速率≤5K/min,低温测试时建议升温速率≤2K/min。 样品尺寸方面,氧化铝或石英标样尺寸一般为φ6*25mm((样品尺寸尽量与其一致,可为对角线长度<6mm的方形)),测试时首先测试标样扣除系统误差,当我们的样品长度较短时,扣除系统误差后,有可能导致温度相对较低时产生负膨胀现象。 样品长度与标样相近甚至更长时出现负膨胀现象,且设备运行正常的情况下,则是样品本身在相对较低温度下长度变化较小的原因。
扫一扫关注微信